
Meet Dr. Bobby
Wondering if these gummies actually work? Our Dr. Bobby ensures all of our products are 3rd party tested, produced in FDA/GMP certified facilities and ensures all of our products are backed by real science. Below you can see research studies for YUMBears Ingredients.
Research Links
Sleep
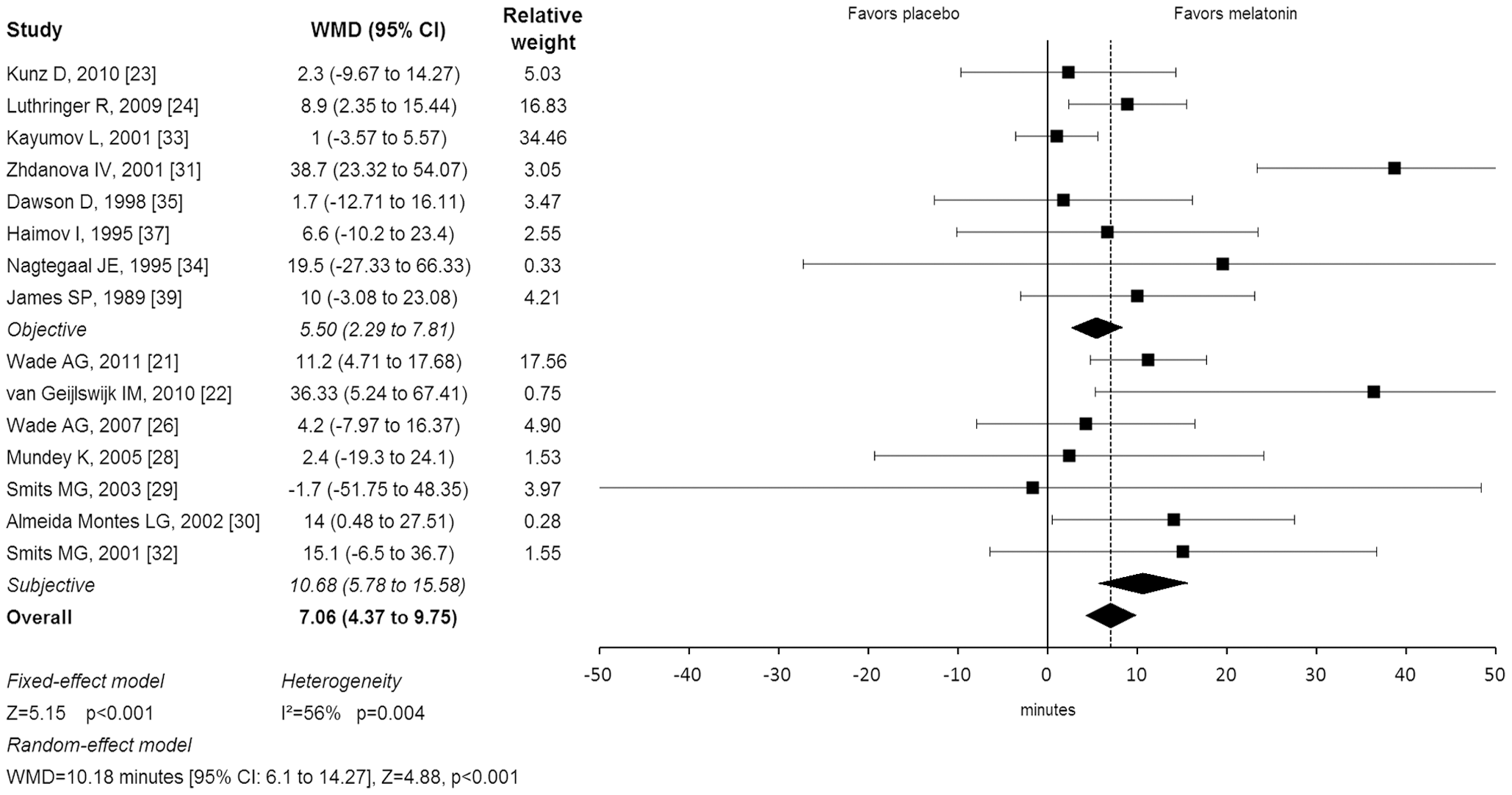
Effect of melatonin supplementation on sleep quality: a
systematic review and meta-analysis of randomized controlled trials
https://pubmed.ncbi.nlm.nih.gov/33417003/
Results: Of 2642 papers, 23 RCTs met inclusion
criteria. Our results
indicated that melatonin had significant effect on sleep quality as
assessed by the Pittsburgh Sleep Quality Index (PSQI) (WMD: - 1.24; 95% CI -
1.77, - 0.71, p = 0.000). There was significant heterogeneity between studies
(I2 = 80.7%, p = 0.000). Subgroup analysis based on health
status and kind of intervention were potential between-study heterogeneity.
Subgroup analysis based on health status revealed melatonin intervention in
subjects with Respiratory diseases (WMD: - 2.20; 95% CI - 2.97, - 1.44, p =
0.000), Metabolic disorders (WMD: - 2.74; 95% CI - 3.48, - 2.00, p = 0.000) and
sleep disorders (WMD: - 0.67; 95% CI - 0.98, - 0.37, p = 0.000) has significant
effect on sleep quality.
Conclusion: We found that the treatment with
exogenous melatonin has positive effects on sleep quality as assessed by the
Pittsburgh Sleep Quality Index (PSQI) in adult.
NIH Ashwagandha for stress, anxiety, sleep
https://ods.od.nih.gov/factsheets/Ashwagandha-HealthProfessional/
Melatonin for Sleep: Does It Work?
https://www.hopkinsmedicine.org/health/wellness-and-prevention/melatonin-for-sleep-does-it-work
Randomized, Double-Blind, Placebo-Controlled, Clinical
Study of Passiflora incarnata (PassionFlower) in Participants With Stress and
Sleep Problems
https://pmc.ncbi.nlm.nih.gov/articles/PMC11026993/
The results
of the current study indicate that Passiflora incarnata extract is
beneficial in the management of stress and helps to improve sleep quality in subjects with stress
and insomnia.
The effects of L-theanine consumption on sleep outcomes:
A systematic review and meta-analysis
https://www.sciencedirect.com/science/article/pii/S1087079225000292
positive effects of L-theanine
supplementation were observed on subjective measures for sleep onset latency, daytime
dysfunction, and overall sleep quality. The findings of this review show
the potential for L-theanine supplementation as a treatment option for the
management of sleep disturbances.
Can Dietary Supplements Lead to a Better Night’s Sleep?
https://www.thensf.org/supplements-and-sleep/ melatonin, L-theanine, passionflower,
chamomile
STRESS:
Effects of Ashwagandha (Withania
Somnifera) on stress and anxiety: A systematic review and meta-analysis
https://www.sciencedirect.com/science/article/abs/pii/S1550830724001691
Nine
randomized controlled trials involving 558 patients were eligible for this
study. The findings of the meta-analysis showed a significant effect of Ashwagandha formulations
on the Perceived Stress Scale (PSS) (MD = -4.72, 95 % CI = [-8.45 to
-0.99]), Hamilton Anxiety Scale (HAS) (MD = -2.19, 95 % CI = [-3.83 to -0.55]),
and serum cortisol levels (MD = -2.58, 95 % CI = [-4.99 to -0.16]) compared to
the placebo group. The
findings from the included studies indicate that Ashwagandha formulations
have beneficial effects on stress and anxiety.
Ashwagandha and Stress:s
https://www.researchgate.net/publication/385669813_Ashwagandha_and_stress
These findings suggest that ashwagandha may be an
effective and safe means of treating chronic stress and improving mental and
physical health.
Appropriate dosage recommendations also seem necessary.
A standardized Ashwagandha root extract alleviates
stress, anxiety, and improves quality of life in healthy adults by modulating
stress hormones: Results from a randomized, double-blind, placebo-controlled
study
https://pubmed.ncbi.nlm.nih.gov/37832082/
The results
of the study suggest that ARE (Ashgawandha Root Extract) with 2.5% withanolides
can effectively improve
stress and anxiety by reducing cortisol and increasing serotonin in
healthy individuals with mild to moderate symptoms.
Ashwagandha:
Is it helpful for stress, anxiety, or sleep?
Stress
Results from
most of the studies published after this 2021 review also suggest that
ashwagandha has a beneficial impact on perceived stress [9-17]. For example, one clinical trial
conducted in Florida included 60 men and women (mean age 34 years) who reported
experiencing stress. Participants took capsules that contained 225 mg/day or
400 mg/day of a proprietary ashwagandha root and leaf extract (NooGandha) or
placebo for 30 days [9]. Compared with participants in the placebo group,
those in both ashwagandha groups reported positive effects on stress, anxiety,
depression, and food cravings as measured by validated rating scales. In
addition, participants who took the 225-mg dose had lower saliva cortisol
levels than those in the placebo group.
How accurate are the claims about ashwagandha's benefits?
HAIR
Biotin
https://ods.od.nih.gov/factsheets/Biotin-HealthProfessional
Signs of biotin deficiency include skin rashes,
hair loss, and brittle nails [10,13]. Therefore, biotin supplements are often promoted
for hair, skin, and nail health [16,23,2424. Ebony. Black hair and biotin: can this
vitamin really help your hair grow? Ebony, 2014.].
Vitamins, minerals, and hair loss: Is there a connection?
Hair, Skin And Nails (Biotin) 10,000 Mcg Chewable Tablet
Biotin, Systemic - Uses, Side Effects, and More
https://www.webmd.com/drugs/2/drug-185278/hair-skin-and-nails-biotin-oral/details#overdose
https://www.healthline.com/health/biotin-hair-growth#hair-loss
Because hair
loss is sometimes associated with a biotin deficiency, correcting a deficiency
with supplements can prevent hair loss in some people. However, hair loss can
be a consequence of several other factors, too.
Analysis of Serum Zinc and Copper Concentrations in Hair
Loss
https://pmc.ncbi.nlm.nih.gov/articles/PMC3870206/
In all of the hair loss patients, the mean serum zinc
was 84.33±22.88, significantly lower than the control group (97.94±21.05 µg/dl)
(p=0.002)
https://pmc.ncbi.nlm.nih.gov/articles/PMC6380979/
The Role of Vitamins and Minerals in Hair Loss: A Review
https://pmc.ncbi.nlm.nih.gov/articles/PMC6380979/
Micronutrients,
such as vitamins and minerals, play an important, but not entirely clear role
in normal hair follicle development and immune cell function. Deficiency of
such micronutrients may represent a modifiable risk factor associated with the
development, prevention, and treatment of alopecia.
Biotin deficiency enhances the inflammatory response of
human dendritic cells